Simplified  Models for  Photohadronic Interactions in cosmic accelerators

Authors : S. Hümmer, M. Rüger, F. Spanier, W. Winter

This notebook illustrates how to reproduce some results for model Sim - B of arXiv : 1002.1310. It calculates pion, kaon, neutron muon and neutrino spectra.  Please cite arXiv: 1002.1310 if you use this notebook. The notebook can be downloaded here. Requires Mathematica 7.

General parameters

General note on units : All energies in this notebook are in GeV. All spectra are in units of Sim-B_1.gif Sim-B_2.gif (steady) or Sim-B_3.gif Sim-B_4.gif Sim-B_5.gif (injection) times the normalization factors, as given in App. C.

Input Proton spectrum as a function of energy (Eq. C2)

In[1]:=

Sim-B_6.gif

Input Photon spectrum as a function of energy (Eq. C1)

In[2]:=

Sim-B_7.gif

Energy range for which spectra are to be calculated

This notebook needs about 10 minutes to run through for the considered energy range chosen to be [1 ...10^11] GeV (logarithmically). The distance between the interpolation points is in this case deltae = 0.5 [GeV]. For smoother/better results, adjust this number to 0.1 (affects the computation time by a factor of five).

In[3]:=

Sim-B_8.gif

Switches off the messages regarding slow converging and undeflows in computations.  For our accuracy, this treatment is sufficient.

In[5]:=

Sim-B_9.gif

Description of photohadronics

Here the response Functions (f) and the parameters are defined for the different interaction types.

Resonant production (see Sec. 4.2.2)

General version of f-functions in Eqs. (31) and (32):

In[6]:=

Sim-B_10.gif

Parameters from Table 4 in the form {emin, emax, σ, χ, Sim-B_11.gif, Sim-B_12.gif, Sim-B_13.gif}  for different pion charges and interaction types {(LR; Sim-B_14.gif),(LR; Sim-B_15.gif),(HR; Sim-B_16.gif),(HR; Sim-B_17.gif),(HR; Sim-B_18.gif)}

In[7]:=

Sim-B_19.gif

Direct production (see Sec. 4.3)

Functions Sim-B_20.gif:

In[8]:=

Sim-B_21.gif

f-functions for single pion production (1) and 2-pion production (2) from Eq. (33):

In[10]:=

Sim-B_22.gif

Parameters from Table 5 {emin, emax,  Ï‡, Sim-B_23.gif, Sim-B_24.gif, Sim-B_25.gif, Z} for the different  interaction types Sim-B_26.gif,Sim-B_27.gif,Sim-B_28.gif,Sim-B_29.gif,Sim-B_30.gif,Sim-B_31.gif,Sim-B_32.gif};
here  Z=1 for single pion production and Z=2 for 2-pion production

In[12]:=

Sim-B_33.gif

Multi-pion production (see Sec. 4.4.2)

f - function (see Eq. (40)) has the same general form as the one  for resonant production

Parameters from Table 6 {emin, emax, σ, χ, Sim-B_34.gif, Sim-B_35.gif, Sim-B_36.gif} for the different interaction types (see first column of Table 6):

In[13]:=

Sim-B_37.gif

Kaon production (see Sec. 4.5)

f - function from Eq. (42):

In[14]:=

Sim-B_38.gif

Computation of secondary spectra

Pion production; computed with Eq. (28) for the different interaction types; uses logarithmic integration and y as logarithmic variable

Pion spectra from resonant production

In[15]:=

Sim-B_39.gif

In[16]:=

Sim-B_40.gif

Pion spectra from direct production

In[19]:=

Sim-B_41.gif

In[20]:=

Sim-B_42.gif

Pion spectra from multi-pion production

In[23]:=

Sim-B_43.gif

In[24]:=

Sim-B_44.gif

Total pion spectra

In[27]:=

Sim-B_45.gif

Kaon production; see Eq. (28)

In[30]:=

Sim-B_46.gif

Neutron production; see Eq. (B6)

Resonant production:

In[31]:=

Sim-B_47.gif

Direct production:

In[32]:=

Sim-B_48.gif

Multi-pion production:

In[33]:=

Sim-B_49.gif

Total neutron spectra :

In[34]:=

Sim-B_50.gif

Figures for secondary spectra

Function constructing  interpolating functions (Parameters: data: table for which to define interpolating function,  xmin, xmax and ymax: to define ranges for the plots, func: interpolating function object to be returned)

In[35]:=

Sim-B_51.gif

Calculation of the interpoalting functions for pion, neutron and kaon spectra

In[36]:=

Sim-B_52.gif

In[44]:=

Sim-B_53.gif

Contributions to the positive charged pion spectrum from resonant, direct and multi pion interactions (see Fig.5 top left corner)

In[45]:=

Sim-B_54.gif

Out[45]=

Sim-B_55.gif

Pion and kaon spectra (see Fig. 6 left panel)

In[46]:=

Sim-B_56.gif

Out[46]=

Sim-B_57.gif

Description of Weak Decays

Scaling functions for the decays of pions and muons

In[47]:=

Sim-B_58.gif

Pion decays - Muon spectra

Here we compute the decays of the pions into left- and right-handed muons and construct the interpolating functions for the muon spectra (for explanation see module part1)

In[55]:=

Sim-B_59.gif

In[56]:=

Sim-B_60.gif

Pion decays - Neutrino spectra

Here we compute the decay of the pions into neutrinos and construct the interpolating functions for the neutrino spectra (for explanation see module part1)

In[60]:=

Sim-B_61.gif

In[61]:=

Sim-B_62.gif

Kaon decays - Neutrino spectrum

Here we compute the decay of the kaons into neutrinos and construct the interpolating functions for the neutrino spectrum

In[63]:=

Sim-B_63.gif

Neutron decays - Neutrino spectrum

Here we compute the decay of the neutrons into neutrinos and construct the interpolating functions for the neutrino spectrum (for explanation see module part1)

In[64]:=

Sim-B_64.gif

In[65]:=

Sim-B_65.gif

Muon decays - Neutrino spectra

Here we compute the decays of the left - and right - handed muons into neutrinos and construct the interpolating functions for the neutrino spectra taking into account the helicity of the muons (for explanation see module part1).

In[66]:=

Sim-B_66.gif

Helicity of the muons taken into account:

In[67]:=

Sim-B_67.gif

Neglecting helicity of the muons:

In[71]:=

Sim-B_68.gif

Figures for neutrino spectra

Muon neutrinos (see Fig. 10 left panel)

In[75]:=

Sim-B_69.gif

Out[75]=

Sim-B_70.gif

Electron neutrinos  (see Fig. 11 left panel)

In[76]:=

Sim-B_71.gif

Out[76]=

Sim-B_72.gif

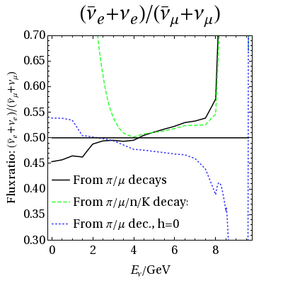
Flavor Ratio  (see Fig. 12 left panel)

In[77]:=

Sim-B_73.gif

Out[77]=

Sim-B_74.gif

Spikey Created with Wolfram Mathematica 7.0