Vorlesung SS08: Higgs und elektroschwache Wechselwirkung

B. List (Benno.List@desy.de) und A. Geiser (Achim.Geiser@desy.de)

Neuer Termin: Dienstag, 10h15, DESY, 1b, Seminarraum 5

1. Vorlesung 2.4.(BL): Einfuehrung, Elektromagnetismus und Eichtheorie; Einfuehrung, Tafelanschrift (siehe auch webpage Benno List)

2. Vorlesung 9.4.(AG): Einfuehrung in schwache WW, SU(2)-Eichtheorie; Tafelanschrift, Hilfsfolien

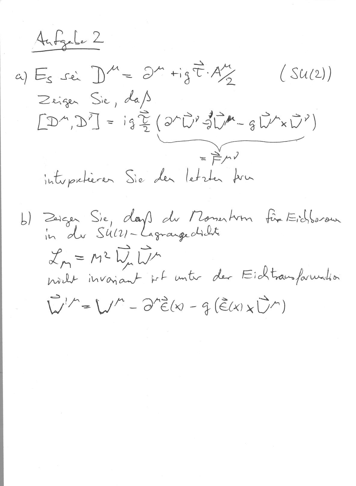
1. Uebung: Aufgaben zur Eichinvarianz; Aufgabe 1, Aufgabe 2

3. Vorlesung 15.4.(AG): GSW-Theorie, Entdeckung von W und Z, Higgs-Potential; Folien, Tafelanschrift

9. Vorlesung 2.6.(AG): Quark-Mischung, Baryon-Asymmetrie; Folien


Für Fragen zur Vorlesung bitte e-mail an
Achim Geiser (Achim.Geiser@desy.de)


Letzte Aktualisierung 14.4.2008