HEAVY FLAVOURS AND PROTON STRUCTURE
Role of the Charm Mass Parameter in the QCD Analysis of Combined HERA Data and Implications for the LHC (Preliminary)
H1prelim-10-143, ZEUS-prel-10-019Writeup
(1) Charm mass parameter scan, HF scheme: RT standard. HERA inclusive DIS data.
Charm mass parameter scan, HF scheme: RT standard. HERA inclusive DIS data.
(2) Charm mass parameter scan, HF scheme: RT standard. HERA inclusive DIS data + HERA charm data.
Charm mass parameter scan, HF scheme: RT standard. HERA inclusive DIS data + HERA charm data.
(3) Charm mass parameter scan, HF scheme: RT optimised. HERA inclusive DIS data + HERA charm data.
Charm mass parameter scan, HF scheme: RT optimised. HERA inclusive DIS data + HERA charm data.
(4) Charm mass parameter scan, HF scheme: ACOT Full. HERA inclusive DIS data + HERA charm data.
Charm mass parameter scan, HF scheme: ACOT Full. HERA inclusive DIS data + HERA charm data.
(5) Charm mass parameter scan, HF scheme: S-ACOT-Chi. HERA inclusive DIS data + HERA charm data.
Charm mass parameter scan, HF scheme: S-ACOT-Chi. HERA inclusive DIS data + HERA charm data.
(6) Charm mass parameter scan, HF scheme: ZMVFNS. HERA inclusive DIS data + HERA charm data.
Charm mass parameter scan, HF scheme: ZMVFNS. HERA inclusive DIS data + HERA charm data.
(7) Charm mass scan for different FH schemes. HERA inclusive DIS data + HERA charm data.
Charm mass scan for different FH schemes. HERA inclusive DIS data + HERA charm data.
(8) HERA combined F2cc measurement for Q2>4 GeV2 vs QCD predictions using HERAPDF with charm data for different HF schemes.
HERA combined F2cc measurement for Q2>4 GeV2 vs QCD predictions using HERAPDF with charm data for different HF schemes.
(9) HERA combined F2cc measurement for Q2>4 GeV2 vs QCD predictions using HERAPDF with charm data for HF scheme: RT standard.
HERA combined F2cc measurement for Q2>4 GeV2 vs QCD predictions using HERAPDF with charm data for HF scheme: RT standard.
(10) HERA combined F2cc measurement for Q2>4 GeV2 vs QCD predictions using HERAPDF with charm data for HF scheme: RT optimised.
HERA combined F2cc measurement for Q2>4 GeV2 vs QCD predictions using HERAPDF with charm data for HF scheme: RT optimised.
(11) HERA combined F2cc measurement for Q2>4 GeV2 vs QCD predictions using HERAPDF with charm data for HF scheme: ACOT-full.
HERA combined F2cc measurement for Q2>4 GeV2 vs QCD predictions using HERAPDF with charm data for HF scheme: ACOT-full.
(12) HERA combined F2cc measurement for Q2>4 GeV2 vs QCD predictions using HERAPDF with charm data for HF scheme: S-ACOT-Chi.
HERA combined F2cc measurement for Q2>4 GeV2 vs QCD predictions using HERAPDF with charm data for HF scheme: S-ACOT-Chi.
(13) HERA combined F2cc measurement for Q2>4 GeV2 vs QCD predictions using HERAPDF with charm data for HF scheme: ZMVFNS.
HERA combined F2cc measurement for Q2>4 GeV2 vs QCD predictions using HERAPDF with charm data for HF scheme: ZMVFNS.
(14) W+ cross section at the LHC (7 TeV) vs a choice of the charm mass in the PDF for different HF schemes.
W+ cross section at the LHC (7 TeV) vs a choice of the charm mass in the PDF for different HF schemes.
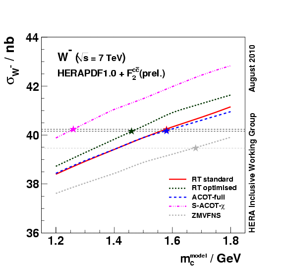
(15) W- cross section at the LHC (7 TeV) vs a choice of the charm mass in the PDF for different HF schemes.
W- cross section at the LHC (7 TeV) vs a choice of the charm mass in the PDF for different HF schemes.
(16) Z cross section at the LHC (7 TeV) vs a choice of the charm mass in the PDF for different HF schemes.
Z cross section at the LHC (7 TeV) vs a choice of the charm mass in the PDF for different HF schemes.

