DIFFRACTION
Combined Measurement of Diffraction at HERA (Preliminary)
(1) Reduced diffractive cross section as a function of xpom for different beta and Q^2 (H1 FPS vs ZEUS LPS)Reduced diffractive cross section as a function of xpom for different beta and Q^2 (H1 FPS vs ZEUS LPS)
(2) Reduced diffractive cross section as a function of xpom for different beta and Q^2 (H1 FPS vs ZEUS LPS vs H1+ZEUS combined)
Reduced diffractive cross section as a function of xpom for different beta and Q^2 (H1 FPS vs ZEUS LPS vs H1+ZEUS combined)
(3) Reduced diffractive cross section as a function of xpom for different beta and Q^2 (H1+ZEUS combined)
Reduced diffractive cross section as a function of xpom for different beta and Q^2 (H1+ZEUS combined)
(4) Reduced diffractive cross section as a function of Q^2 for different beta and xpom (H1 FPS vs ZEUS LPS)
Reduced diffractive cross section as a function of Q^2 for different beta and xpom (H1 FPS vs ZEUS LPS)
(5) Reduced diffractive cross section as a function of Q^2 for different beta and xpom (H1 FPS vs ZEUS LPS vs H1+ZEUS combined)
Reduced diffractive cross section as a function of Q^2 for different beta and xpom (H1 FPS vs ZEUS LPS vs H1+ZEUS combined)
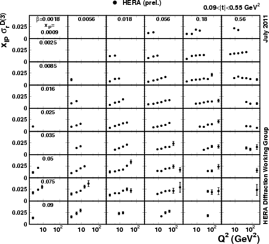
(6) Reduced diffractive cross section as a function of Q^2 for different beta and xpom (H1+ZEUS combined)
Reduced diffractive cross section as a function of Q^2 for different beta and xpom (H1+ZEUS combined)
(7) Reduced diffractive cross section as a function of Q^2 for selected beta and xpom (1)
Reduced diffractive cross section as a function of Q^2 for selected beta and xpom (1)
(8) Reduced diffractive cross section as a function of Q^2 for selected beta and xpom (2)
Reduced diffractive cross section as a function of Q^2 for selected beta and xpom (2)
(9) Reduced diffractive cross section as a function of xpom for selected beta and Q^2 (1)
Reduced diffractive cross section as a function of xpom for selected beta and Q^2 (1)
(10) Reduced diffractive cross section as a function of xpom for selected beta and Q^2 (2)
Reduced diffractive cross section as a function of xpom for selected beta and Q^2 (2)

